Heaps and priority queues are little-known but surprisingly useful data structures. For many problems that involve finding the best element in a dataset, they offer a solution thatβs easy to use and highly effective. The Python heapq module is part of the standard library. It implements all the low-level heap operations as well as some high-level common uses for heaps.
A priority queue is a powerful tool that can solve problems as varied as writing an email scheduler, finding the shortest path on a map, or merging log files. Programming is full of optimization problems in which the goal is to find the best element. Priority queues and the functions in the Python heapq module can often help with that.
In this tutorial, youβll learn:
- What heaps and priority queues are and how they relate to each other
- What kinds of problems can be solved using a heap
- How to use the Python
heapqmodule to solve those problems
This tutorial is for Pythonistas who are comfortable with lists, dicts, sets, and generators and are looking for more sophisticated data structures.
Free Download: Get a sample chapter from Python Tricks: The Book that shows you Pythonβs best practices with simple examples you can apply instantly to write more beautiful + Pythonic code.
What Are Heaps?
Heaps are concrete data structures, whereas priority queues are abstract data structures. An abstract data structure determines the interface, while a concrete data structure defines the implementation.
Heaps are commonly used to implement priority queues. Theyβre the most popular concrete data structure for implementing the priority queue abstract data structure.
Concrete data structures also specify performance guarantees. Performance guarantees define the relationship between the size of the structure and the time operations take. Understanding those guarantees allows you to predict how much time the program will take as the size of its inputs change.
Data Structures, Heaps, and Priority Queues
Abstract data structures specify operations and the relationships between them. The priority queue abstract data structure, for example, supports three operations:
- is_empty checks whether the queue is empty.
- add_element adds an element to the queue.
- pop_element pops the element with the highest priority.
Priority queues are commonly used for optimizing task execution, in which the goal is to work on the task with the highest priority. After a task is completed, its priority is lowered, and itβs returned to the queue.
There are two different conventions for determining the priority of an element:
- The largest element has the highest priority.
- The smallest element has the highest priority.
These two conventions are equivalent because you can always reverse the effective order. For example, if your elements consist of numbers, then using negative numbers will flip the conventions around.
The Python heapq module uses the second convention, which is generally the more common of the two. Under this convention, the smallest element has the highest priority. This might sound surprising, but itβs often quite useful. In the real-life examples youβll see later, this convention will simplify your code.
Note: The Python heapq module, and the heap data structure in general, is not designed to allow finding any element except the smallest one. For retrieval of any element by size, a better option is a binary search tree.
Concrete data structures implement the operations defined in an abstract data structure and further specify performance guarantees.
The heap implementation of the priority queue guarantees that both pushing (adding) and popping (removing) elements are logarithmic time operations. This means that the time it takes to do push and pop is proportional to the base-2 logarithm of the number of elements.
Logarithms grow slowly. The base-2 logarithm of fifteen is about four, while the base-2 logarithm of a trillion is about forty. This means that if an algorithm is fast enough on fifteen elements, then itβs going to be only ten times slower on a trillion elements and will probably still be fast enough.
In any discussion of performance, the biggest caveat is that these abstract considerations are less meaningful than actually measuring a concrete program and learning where the bottlenecks are. General performance guarantees are still important for making useful predictions about program behavior, but those predictions should be confirmed.
Implementation of Heaps
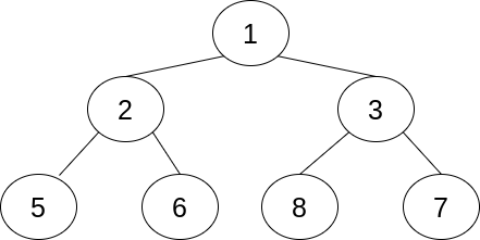
A heap implements a priority queue as a complete binary tree. In a binary tree, each node will have at most two children. In a complete binary tree, all levels except possibly the deepest one are full at all times. If the deepest level is incomplete, then it will have the nodes as far to the left as possible.
The completeness property means that the depth of the tree is the base-2 logarithm of the number of elements, rounded up. Hereβs an example of a complete binary tree:

In this particular example, all levels are complete. Each node except for the deepest ones has exactly two children. There are a total of seven nodes in three levels. Three is the base-2 logarithm of seven, rounded up.
The single node at the base level is called the root node. It might seem weird to call the node at the top of the tree the root, but this is the common convention in programming and computer science.
The performance guarantees in a heap depend on how elements percolate up and down the tree. The practical result of this is that the number of comparisons in a heap is the base-2 logarithm of the size of the tree.
Note: Comparisons sometimes involve calling user-defined code using .__lt__(). Calling user-defined methods in Python is a relatively slow operation compared with other operations done in a heap, so this will usually be the bottleneck.
In a heap tree, the value in a node is always smaller than both of its children. This is called the heap property. This is different from a binary search tree, in which only the left node will be smaller than the value of its parent.
The algorithms for both pushing and popping rely on temporarily violating the heap property, then fixing the heap property through comparisons and replacements up or down a single branch.
For example, to push an element onto a heap, Python adds the new node to the next open slot. If the bottom layer isnβt full, then the node is added to the next open slot at the bottom. Otherwise, a new level is created and then the element is added to the new bottom layer.
Once the node is added, Python compares it to its parent. If the heap property is violated, then the node and its parent are switched, and the check begins again at the parent. This continues until the heap property holds or the root has been reached.
Similarly, when popping the smallest element, Python knows that, because of the heap property, the element is at the root of the tree. It replaces the element with the last element at the deepest layer and then checks if the heap property is violated down the branch.
Uses of Priority Queues
A priority queue, and a heap as an implementation of a priority queue, is useful for programs that involve finding an element that is extreme in some way. For example, you can use a priority queue for any of the following tasks:
- Getting the three most popular blog posts from hit data
- Finding the fastest way to get from one point to the other
- Predicting which bus will be the first to arrive at a station based on arrival frequency
Another task for which you could use a priority queue is scheduling emails. Imagine a system that has several kinds of emails, each of which needs to be sent at a certain frequency. One kind of email needs to go out every fifteen minutes, and another needs to be sent every forty minutes.
A scheduler could add both types of email to the queue with a timestamp indicating when the email next needs to be sent. Then the scheduler could look at the element with the smallest timestampβindicating that itβs next in line to be sentβand calculate how long to sleep before sending.
When the scheduler wakes up, it would process the relevant email, take the email out of the priority queue, calculate the next timestamp, and put the email back in the queue at the correct location.
Heaps as Lists in the Python heapq Module
Although you saw the heap described earlier as a tree, itβs important to remember that itβs a complete binary tree. Completeness means that itβs always possible to tell how many elements are at each layer except the last one. Because of this, heaps can be implemented as a list. This is what the Python heapq module does.
There are three rules that determine the relationship between the element at the index k and its surrounding elements:
- Its first child is at
2*k + 1. - Its second child is at
2*k + 2. - Its parent is at
(k - 1) // 2.
Note: The // symbol is the integer division operator. It always rounds down to an integer.
The rules above tell you how to visualize a list as a complete binary tree. Keep in mind that an element always has a parent, but some elements donβt have children. If 2*k is beyond the end of the list, then the element doesnβt have any children. If 2*k + 1 is a valid index but 2*k + 2 is not, then the element has only one child.
The heap property means that if h is a heap, then the following will never be False:
h[k] <= h[2*k + 1] and h[k] <= h[2*k + 2]
It might raise an IndexError if any of the indices is beyond the length of the list, but it will never be False.
In other words, an element must always be smaller than the elements that are at twice its index plus one and twice its index plus two.
Hereβs a visual of a list that satisfies the heap property:

The arrows go from element k to elements 2*k + 1 and 2*k + 2. For example, the first element in a Python list has the index 0, so its two arrows point at indices 1 and 2. Notice how the arrows always go from a smaller value to a bigger value. This is how you can check that the list satisfies the heap property.
Basic Operations
The Python heapq module implements heap operations on lists. Unlike many other modules, it does not define a custom class. The Python heapq module has functions that work on lists directly.
Usually, as in the email example above, elements will be inserted into a heap one by one, starting with an empty heap. However, if thereβs already a list of elements that needs to be a heap, then the Python heapq module includes heapify() for turning a list into a valid heap.
The following code uses heapify() to turn a into a heap.
>>> import heapq
>>> a = [3, 5, 1, 2, 6, 8, 7]
>>> heapq.heapify(a)
>>> a
[1, 2, 3, 5, 6, 8, 7]
You can check that even though 7 comes after 8, the list a still obeys the heap property. For example, a[2], which is 3, is less than a[2*2 + 2], which is 7.
As you can see, heapify() modifies the list in place but doesnβt sort it. A heap doesnβt have to be sorted to satisfy the heap property. However, since every sorted list does satisfy the heap property, running heapify() on a sorted list wonβt change the order of elements in the list.
The other basic operations in the Python heapq module assume that the list is already a heap. Itβs useful to note that an empty list or a list of length one will always be a heap.
Since the root of the tree is the first element, you donβt need a dedicated function to read the smallest element nondestructively. The first element, a[0], will always be the smallest element.
To pop the smallest element while preserving the heap property, the Python heapq module defines heappop().
Hereβs how to use heappop() to pop an element:
>>> import heapq
>>> a = [1, 2, 3, 5, 6, 8, 7]
>>> heapq.heappop(a)
1
>>> a
[2, 5, 3, 7, 6, 8]
The function returns the first element, 1, and preserves the heap property on a. For example, a[1] is 5 and a[1*2 + 2] is 6.
The Python heapq module also includes heappush() for pushing an element to the heap while preserving the heap property.
The following example shows pushing a value to a heap:
>>> import heapq
>>> a = [2, 5, 3, 7, 6, 8]
>>> heapq.heappush(a, 4)
>>> a
[2, 5, 3, 7, 6, 8, 4]
>>> heapq.heappop(a)
2
>>> heapq.heappop(a)
3
>>> heapq.heappop(a)
4
After pushing 4 to the heap, you pop three elements from it. Since 2 and 3 were already in the heap and are smaller than 4, theyβre popped first.
The Python heapq module also defines two more operations:
heapreplace()is equivalent toheappop()followed byheappush().heappushpop()is equivalent toheappush()followed byheappop().
These are useful in some algorithms since theyβre more efficient than doing the two operations separately.
A High-Level Operation
Since priority queues are so often used to merge sorted sequences, the Python heapq module has a ready-made function, merge(), for using heaps to merge several iterables. merge() assumes its input iterables are already sorted and returns an iterator, not a list.
As an example of using merge(), hereβs an implementation of the email scheduler described earlier:
import datetime
import heapq
def email(frequency, details):
current = datetime.datetime.now()
while True:
current += frequency
yield current, details
fast_email = email(datetime.timedelta(minutes=15), "fast email")
slow_email = email(datetime.timedelta(minutes=40), "slow email")
unified = heapq.merge(fast_email, slow_email)
The inputs to merge() in this example are infinite generators. The return value assigned to the variable unified is also an infinite iterator. This iterator will yield the emails to be sent in the order of the future timestamps.
To debug and confirm that the code is merging correctly, you can print the first ten emails to be sent:
>>> for _ in range(10):
... print(next(element))
(datetime.datetime(2020, 4, 12, 21, 27, 20, 305358), 'fast email')
(datetime.datetime(2020, 4, 12, 21, 42, 20, 305358), 'fast email')
(datetime.datetime(2020, 4, 12, 21, 52, 20, 305360), 'slow email')
(datetime.datetime(2020, 4, 12, 21, 57, 20, 305358), 'fast email')
(datetime.datetime(2020, 4, 12, 22, 12, 20, 305358), 'fast email')
(datetime.datetime(2020, 4, 12, 22, 27, 20, 305358), 'fast email')
(datetime.datetime(2020, 4, 12, 22, 32, 20, 305360), 'slow email')
(datetime.datetime(2020, 4, 12, 22, 42, 20, 305358), 'fast email')
(datetime.datetime(2020, 4, 12, 22, 57, 20, 305358), 'fast email')
(datetime.datetime(2020, 4, 12, 23, 12, 20, 305358), 'fast email')
Notice how the fast email is scheduled every 15 minutes, the slow email is scheduled every 40, and the emails are properly interleaved so that theyβre arranged in the order of their timestamps.
merge() doesnβt read all the input, but rather it works dynamically. Even though both inputs are infinite iterators, printing the first ten items finishes quickly.
In a similar way, when used to merge sorted sequences like log file lines arranged by timestamp, even if the logs are big, this will take reasonable amounts of memory.
Problems Heaps Can Solve
As you saw above, heaps are good for incrementally merging sorted sequences. Two applications for heaps that youβve already considered are scheduling periodic tasks and merging log files. However, there are many more applications.
Heaps can also help identify the top n or bottom n things. The Python heapq module has high-level functions that implement this behavior.
For example, this code gets as input the times from the womenβs 100 meters final at the 2016 Summer Olympics and prints the medalists, or top three finishers:
>>> import heapq
>>> results="""\
... Christania Williams 11.80
... Marie-Josee Ta Lou 10.86
... Elaine Thompson 10.71
... Tori Bowie 10.83
... Shelly-Ann Fraser-Pryce 10.86
... English Gardner 10.94
... Michelle-Lee Ahye 10.92
... Dafne Schippers 10.90
... """
>>> top_3 = heapq.nsmallest(
... 3, results.splitlines(), key=lambda x: float(x.split()[-1])
... )
>>> print("\n".join(top_3))
Elaine Thompson 10.71
Tori Bowie 10.83
Marie-Josee Ta Lou 10.86
This code uses nsmallest() from the Python heapq module. nsmallest() returns the smallest elements in an iterable and accepts three arguments:
nindicates how many elements to return.iterableidentifies the elements or dataset to compare.keyis a callable function that determines how elements are compared.
Here, the key function splits the line by whitespace, takes the last element, and converts it to a floating-point number. This means the code will sort the lines by running time and return the three lines with the smallest running times. These correspond to the three fastest runners, which gives you the gold, silver, and bronze medal winners.
The Python heapq module also includes nlargest(), which has similar parameters and returns the largest elements. This would be useful if you wanted to get the medalists from the javelin throw competition, in which the goal is to throw the javelin as far as possible.
How to Identify Problems
A heap, as an implementation of a priority queue, is a good tool for solving problems that involve extremes, like the most or least of a given metric.
There are other words that indicate a heap might be useful:
- Largest
- Smallest
- Biggest
- Smallest
- Best
- Worst
- Top
- Bottom
- Maximum
- Minimum
- Optimal
Whenever a problem statement indicates that youβre looking for some extreme element, itβs worthwhile to think about whether a priority queue would be useful.
Sometimes the priority queue will be only part of the solution, and the rest will be some variant on dynamic programming. This is the case with the full example that youβll see in the next section. Dynamic programming and priority queues are often useful together.
Example: Finding Paths
The following example serves as a realistic use case for the Python heapq module. The example will use a classic algorithm that, as one part of it, requires a heap.
Imagine a robot that needs to navigate a two-dimensional maze. The robot needs to go from the origin, positioned at the top-left corner, to the destination at the bottom-right corner. The robot has a map of the maze in its memory, so it can plan out the whole path before setting out.
The goal is to have the robot finish the maze as quickly as possible.
Our algorithm is a variant of Dijkstraβs algorithm. There are three data structures that are kept and updated throughout the algorithm:
-
tentativeis a map of a tentative path from the origin to a position,pos. The path is called tentative because itβs the shortest known path, but it might be improved upon. -
certainis set of points for which the path thattentativemaps is certain to be the shortest possible path. -
candidatesis a heap of positions that have a path. The sorting key of the heap is the length of the path.
At each step, you perform up to four actions:
-
Pop a candidate from
candidates. -
Add the candidate to the
certainset. If the candidate is already a member of thecertainset, then skip next two actions. -
Find the shortest known path to the current candidate.
-
For each of the current candidateβs immediate neighbors, see if going through the candidate gives a shorter path than the current
tentativepath. If so, then update thetentativepath and thecandidatesheap with this new path.
The steps are run in a loop until the destination is added to the certain set. When the destination is in the certain set, youβre done. The output of the algorithm is the tentative path to the destination, which is now certain to be the shortest possible path.
Top-Level Code
Now that you understand the algorithm, itβs time to write code to implement it. Before implementing the algorithm itself, itβs useful to write some support code.
First, you need to import the Python heapq module:
import heapq
Youβll use the functions from the Python heapq module to maintain a heap that will help you find the position with the shortest known path at each iteration.
The next step is to define the map as a variable in the code:
map = """\
.......X..
.......X..
....XXXX..
..........
..........
"""
The map is a triple-quoted string that shows the area in which the robot can move as well as any obstacles.
Though a more realistic scenario would have you reading the map from a file, for teaching purposes itβs easier to define a variable in the code using this simple map. The code will work on any map, but itβs easier to understand and debug on a simple map.
This map is optimized to be easy to understand for a human reader of the code. The dot (.) is light enough that it looks empty, but it has the advantage of showing the dimensions of the allowed area. The X positions mark obstacles that the robot canβt go through.
Support Code
The first function will convert the map to something easier to parse in code. parse_map() gets a map and analyzes it:
def parse_map(map):
lines = map.splitlines()
origin = 0, 0
destination = len(lines[-1]) - 1, len(lines) - 1
return lines, origin, destination
The function takes a map and returns a tuple of three elements:
- A list of
lines - The
origin - The
destination
This allows the rest of the code to work on data structures designed for computers, not for humansβ ability to visually scan.
The list of lines can be indexed by (x, y) coordinates. The expression lines[y][x] returns the value of the position as one of two characters:
- A dot (
".") indicates the position is an empty space. - The letter
"X"indicates the position is an obstacle.
This will be useful when you want to find which positions the robot can occupy.
The function is_valid() calculates whether a given (x, y) position is valid:
def is_valid(lines, position):
x, y = position
if not (0 <= y < len(lines) and 0 <= x < len(lines[y])):
return False
if lines[y][x] == "X":
return False
return True
This function takes two arguments:
linesis the map as a list of lines.positionis the position to check as a two-tuple of integers indicating the(x, y)coordinates.
To be valid, a position has to be inside the boundaries of the map and not an obstacle.
The function checks that y is valid by checking the length of the lines list. The function next checks that x is valid by making sure itβs inside lines[y]. Finally, now that you know both coordinates are inside the map, the code checks that theyβre not an obstacle by looking at the character in this position and comparing the character to "X".
Another useful helper is get_neighbors(), which finds all the neighbors of a position:
def get_neighbors(lines, current):
x, y = current
for dx in [-1, 0, 1]:
for dy in [-1, 0, 1]:
if dx == 0 and dy == 0:
continue
position = x + dx, y + dy
if is_valid(lines, position):
yield position
The function returns all the valid positions surrounding the current position.
get_neighbors() is careful to avoid identifying a position as its own neighbor, but it does allow diagonal neighbors. This is why at least one of dx and dy must not be zero, but itβs okay for both of them to be non-zero.
The final helper function is get_shorter_paths(), which finds shorter paths:
def get_shorter_paths(tentative, positions, through):
path = tentative[through] + [through]
for position in positions:
if position in tentative and len(tentative[position]) <= len(path):
continue
yield position, path
get_shorter_paths() yields positions for which the path that has through as its last step is shorter than the current known path.
get_shorter_paths() has three parameters:
tentativeis a dictionary mapping a position to the shortest known path.positionsis an iterable of positions to which you want to shorten the path.throughis the position through which, perhaps, a shorter path to thepositionscan be found.
The assumption is that all elements in positions can be reached in one step from through.
The function get_shorter_paths() checks if using through as the last step will make a better path for each position. If thereβs no known path to a position, then any path is shorter. If there is a known path, then you only yield the new path if its length is shorter. In order to make the API of get_shorter_paths() easier to use, part of the yield is also the shorter path.
All helper functions were written to be pure functions, meaning they donβt modify any data structures and only return values. This makes it easier to follow the core algorithm, which does all the data structure updates.
Core Algorithm Code
To recap, youβre looking for the shortest path between the origin and the destination.
You keep three pieces of data:
certainis the set of certain positions.candidatesis the heap of candidates.tentativeis a dictionary mapping nodes to the current shortest known path.
A position is in certain if you can be certain that the shortest known path is the shortest possible path. If the destination is in the certain set, then the shortest known path to the destination is unquestionably the shortest possible path, and you can return this path.
The heap of candidates is organized by the length of the shortest known path and is managed with the help of the functions in the Python heapq module.
At each step, you look at the candidate with the shortest known path. This is where the heap is being popped with heappop(). There is no shorter path to this candidateβall other paths go through some other node in candidates, and all of these are longer. Because of that, the current candidate can be marked certain.
You then look at all neighbors that have not been visited, and if going through the current node is an improvement, then you add them to the candidates heap using heappush().
The function find_path() implements this algorithm:
1def find_path(map):
2 lines, origin, destination = parse_map(map)
3 tentative = {origin: []}
4 candidates = [(0, origin)]
5 certain = set()
6 while destination not in certain and len(candidates) > 0:
7 _ignored, current = heapq.heappop(candidates)
8 if current in certain:
9 continue
10 certain.add(current)
11 neighbors = set(get_neighbors(lines, current)) - certain
12 shorter = get_shorter_paths(tentative, neighbors, current)
13 for neighbor, path in shorter:
14 tentative[neighbor] = path
15 heapq.heappush(candidates, (len(path), neighbor))
16 if destination in tentative:
17 return tentative[destination] + [destination]
18 else:
19 raise ValueError("no path")
find_path() receives a map as a string and returns the path from the origin to the destination as a list of positions.
This function is a little long and complicated, so letβs walk through it one bit at a time:
-
Lines 2 through 5 set up the variables that the loop will look at and update. You already know a path from the origin to itself, which is the empty path, of length 0.
-
Line 6 defines the loopβs termination condition. If there are no
candidates, then no paths can be shortened. Ifdestinationis incertain, then the path todestinationcanβt be made shorter. -
Lines 7 through 10 get a candidate using
heappop(), skip the loop if itβs already incertain, and otherwise add the candidate tocertain. This makes sure every candidate will be processed by the loop at most once. -
Lines 11 through 15 use
get_neighbors()andget_shorter_paths()to find shorter paths to neighboring positions and update thetentativedictionary andcandidatesheap. -
Lines 16 through 19 deal with returning the correct result. If a path was found, then the function will return it. Although computing the paths without the final position made implementing the algorithm simpler, itβs a nicer API to return it with the destination. If no path is found, then an exception is raised.
Breaking the function into separate sections lets you understand it one part at a time.
Visualization Code
If the algorithm was actually used by a robot, then the robot would probably perform better with a list of positions that it should travel through. However, to make the result better looking to humans, it would be nicer to visualize them.
show_path() draws a path on a map:
def show_path(path, map):
lines = map.splitlines()
for x, y in path:
lines[y] = lines[y][:x] + "@" + lines[y][x + 1 :]
return "\n".join(lines) + "\n"
The function takes the path and map as parameters. It returns a new map with the path indicated by the at symbol ("@").
Running the Code
Finally, you need to call the functions. This can be done from the Python interactive interpreter.
The following code will run the algorithm and show a pretty output:
>>> path = find_path(map)
>>> print(show_path(path, map))
@@.....X..
..@....X..
...@XXXX..
....@@@@@.
.........@
First you get the shortest path from find_path(). Then you pass it to show_path() to render a map with the path marked on it. Finally, you print() the map to the standard output.
The path moves one step to the right, then a few diagonal steps toward the bottom-right, then several more steps to the right, and it finally finishes with a diagonal step to the bottom-right.
Congratulations! Youβve solved a problem using the Python heapq module.
These kinds of pathfinding problems, solvable by a combination of dynamic programming and priority queues, are common in job interviews and programming challenges. For example, the 2019 Advent of Code included a problem that could be solved with the techniques described here.
Conclusion
You now know what the heap and priority queue data structures are and what kinds of problems theyβre useful in solving. You learned how to use the Python heapq module to use Python lists as heaps. You also learned how to use the high-level operations in the Python heapq module, like merge(), which use a heap internally.
In this tutorial, youβve learned how to:
- Use the low-level functions in the Python
heapqmodule to solve problems that need a heap or a priority queue - Use the high-level functions in the Python
heapqmodule for merging sorted iterables or finding the largest or smallest elements in an iterable - Recognize problems that heaps and priority queues can help solve
- Predict the performance of code that uses heaps
With your knowledge of heaps and the Python heapq module, you can now solve many problems in which the solution depends on finding the smallest or largest element.



